Esophageal Pressure Swings During Spontaneous Breathing In Normal
Influence Of Cardiac Artifact On Esophageal Pressure Recording
Esophageal Pressure Curve Springerlink
Does Esophageal Pressure Monitoring Reliably Permit To Estimate
Transpulmonary Pressure Importance And Limits Grieco Annals
Transpulmonary Pressure Importance And Limits Grieco Annals
Total Work Of Breathing And Esophageal Pressure Swings
Figure 1 From Do Spontaneous And Mechanical Breathing Have Similar
Figure 5 From Pharyngeal And Esophageal Pressure Measurements To
High Peep May Have Reduced Injurious Transpulmonary Pressure
Respiratory Mechanics In Mechanically Ventilated Patients
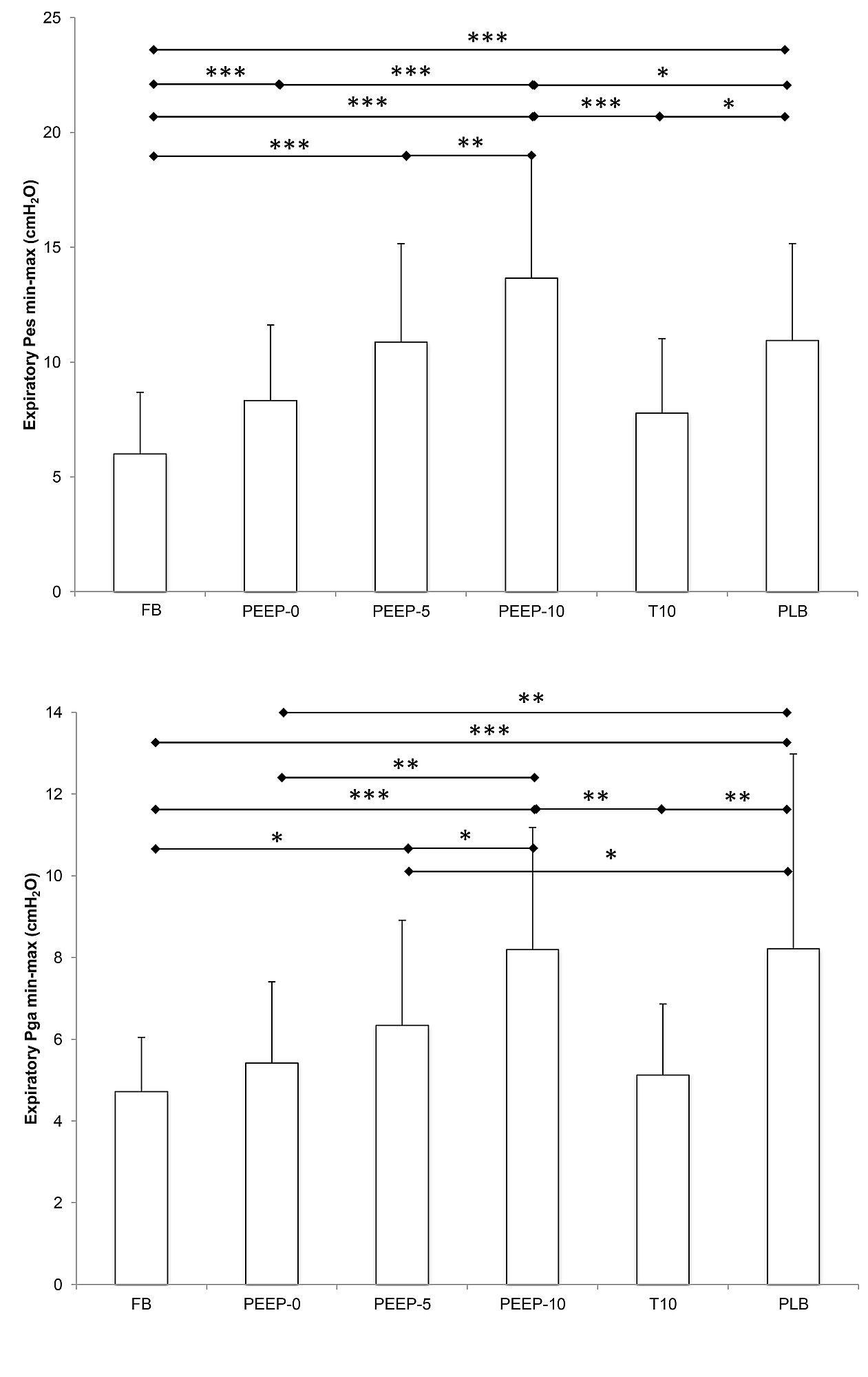
Expiratory Esophageal And Gastric Pressure Swing Pes Min Max And
Total Work Of Breathing And Esophageal Pressure Swings
Esophageal Pressure Curve Springerlink
Respiratory Mechanics In Mechanically Ventilated Patients
Esophagus Pressure An Overview Sciencedirect Topics
Feasibility Of Neurally Adjusted Positive End Expiratory Pressure
Measuring Central Pulmonary Pressures During Exercise In Copd How
Spontaneous Breathing A Double Edged Sword To Handle With Care
Weaning And Discontinuation From Mechanical Ventilation Thoracic Key
Figure 3 From Esophageal And Transpulmonary Pressure In The
Ppt Principles Of Mechanical Ventilation Powerpoint Presentation
Https Www Fluidacademy Org Images Medical Fluids 2015 Papers 11 20transpulmonary 20pressure 20monitoring 20during 20mechanical 20ventilation 20a 20bench To Bedside 20review Pdf
Comparison Of 2 Correction Methods For Absolute Values Of
Measurement Of Pleural Pressure Swings With A Fluid Filled
Tim Frenzel On Twitter Brochard Use Of Esophageal Pressure
Measurement Of Esophageal Pressure At Bedside Pros And Con
Http Www Bomimed Com Resources Apps Documents Esophageal Pressure Whitepaper 2014 04 17 Pdf
Https Skemman Is Bitstream 1946 23804 1 Serwatko Msc Ms Yfirfarid Pdf
Does Esophageal Pressure Monitoring Reliably Permit To Estimate
Neural Respiratory Drive In Obesity Thorax
Https Criticalcarecanada Com Presentations 2017 Transpulmonary Pressure Pdf
Technical Aspects Of Bedside Respiratory Monitoring Of
Https Www Hamilton Medical Com Dam Jcr D825a80f Cd5c 44bd 845f 7fa2b3056aeb Transpulmonary Pressure Measurement En White Paper 2014 07 21 Pdf
Obstructive Sleep Apnea Hypopnea Syndromes Definitions
Https Core Ac Uk Download Pdf 81766244 Pdf
Swiss Medical Weekly Basic Concepts Of Heart Lung Interactions
Https Www Atsjournals Org Doi Pdf 10 1164 Ajrccm Conference 2017 195 1 Meetingabstracts A3704
Reverse Triggering With Breath Stacking During Mechanical
Time Series Plot Of Swings In Esophageal Pressure Pes Left Panel
Https Www Jtcvs Org Article S0022 5223 17 33037 4 Pdf
Https Academic Oup Com Sleep Article Pdf 41 1 Zsx183 25092589 Zsx183 Pdf
Measuring Central Pulmonary Pressures During Exercise In Copd How
Liquid And Air Filled Catheters Without Balloon As An Alternative
Heart Lung Interactions Anesthesia Key
What Is Transpulmonary Pressure Really
Https Www Jtcvs Org Article S0022 5223 17 33037 4 Pdf
Full Text Nasal High Flow Physiology Efficacy And Safety In The
Https Criticalcarecanada Com Presentations 2017 Transpulmonary Pressure Pdf
Chapter 8 Pressure Support Ventilation Principles And Practice
Measurement Of Pleural Pressure Swings With A Fluid Filled
Http Www Bomimed Com Resources Apps Documents Esophageal Pressure Whitepaper 2014 04 17 Pdf
Effects Of Respiratory Mechanical Unloading On Thoracoabdominal
Http Rc Rcjournal Com Content Respcare Early 2014 10 21 Respcare 03410 Full Pdf
The Application Of Esophageal Pressure Measurement In Patients
Do Spontaneous And Mechanical Breathing Have Similar Effects On
Http Journal Chestnet Org Article S0012 3692 15 47265 4 Pdf
Gale Academic Onefile Document Work Of D Is Increased During
The Use Of High Flow Nasal Cannula In The Pediatric Emergency
Does Esophageal Pressure Monitoring Reliably Permit To Estimate
Esophageal Pressure Monitoring Why When And How Current
Early Rise In Central Venous Pressure During A Spontaneous
Https Www Fluidacademy Org Images Medical Fluids 2015 Papers 11 20transpulmonary 20pressure 20monitoring 20during 20mechanical 20ventilation 20a 20bench To Bedside 20review Pdf
Https Ieeexplore Ieee Org Iel7 7128112 7145157 07145205 Pdf
Https Www Hamilton Medical Com Dam Jcr D825a80f Cd5c 44bd 845f 7fa2b3056aeb Transpulmonary Pressure Measurement En White Paper 2014 07 21 Pdf
Frontiers Mandibular Movements As Accurate Reporters Of
Https Annalsofintensivecare Springeropen Com Track Pdf 10 1186 S13613 019 0597 5
Interpretation Of The Transpulmonary Pressure In The Critically
Https Www Jpeds Com Article S0022 3476 18 31401 X Pdf
Sleep Science The Role Of Flow Limitation As An Important
Http Journal Chestnet Org Article S0012 3692 15 47265 4 Pdf
Figure 2 Weaning From Mechanical Ventilation In Ards Aspects To
Bedside Interpretation Of Ventilatory Waveforms Civetta Taylor
Characterization Of Respiratory Events In Obstructive Sleep Apnea
Https Homecare Medical Com En Biselli Et Al Jap 2016
Https Cyberleninka Org Article N 572142 Pdf
Additional Expiratory Resistance Elevates Airway Pressure And Lung
Chapter 48 Monitoring During Mechanical Ventilation Principles
Muscle Oxygen Training Training The Diaphram Using The Hexoskin
The Long Term Effects Of Alcohol Abuse Can Be Devastating
Fishman S Pulmonary Diseases And Disorders Fifth Edition
Physiologic And Clinical Benefits Of Noninvasive Ventilation In
Https Www Gastrojournal Org Article S0016 5085 19 35770 1 Pdf
Bedside Interpretation Of Ventilatory Waveforms Civetta Taylor
Frontiers Effect Of Abdominal Binding On Diaphragmatic
Recent Advances In Pediatric Ventilatory Assistance F1000research
Ats Blue Journal On Twitter The Combination Of Atomoxetine And
Characterization Of Respiratory Events In Obstructive Sleep Apnea
Atelectasis Is Inversely Proportional To Transpulmonary Pressure
Effects Of Continuous Positive Airway Pressure On Obstructive
A Pressures Transpulmonary Pressure Swings Dp L On The Left




0 Response to "Esophageal Pressure Swing"
Post a Comment